이번에 리뷰해 볼 논문은
Young Joon Lee, Soohyon Kim and Ki Young Park (2019), Deciphering Monetary Policy Board Minutes with Text Mining: The Case of South Korea, The Korean Economic Review, 35(2), 471-511. 이다.
해당 연구는 텍스트 마이닝을 활용하여
금융통화위원회 의사록에 나타난 위원들의 발언 속 의도 등
비정형적인 통화정책 기조 관련 정보를 측정하고, 검증한 연구이다.
이 논문의 교신저자이신 박기영 교수님은
연세대학교 경제학과 교수님으로,
2021년 10월, 한국은행 금융통화위원회 위원으로 취임하신 후
지금까지 활동중이신 분이다.
금융통화위원회 위원들이 시장에 주는 비정형 정보의 중요성에 대한
연구를 하신 후 약 2.5년 후에
그 자리에 가셔서 중요한 역할을 수행하시게 되신 것인데,
이런 연구를 하셨기 때문에
더욱 더 발언 하나 하나를 신경써서 하고 계시지 않을까...
하는 생각을 해본다.
연구 내용을 요약하면 다음과 같다.
저자들은 2005년부터 2017년까지의
금융통화위원회 의사록, 채권분석리포트,
연합 인포맥스, 이데일리, 연합 뉴스 기사 등 총 231,699개의
자료를 수집한 후,
텍스트 분석을 위한 전처리 과정을 수행했다.
그 후 경제 분야에 특화되어 구축된 감성분석 사전(eKoNLPy)으로
금융통화위원회 의사록에서 통화정책 기조를 추출하였다.
(여기서 활용된 eKoNLPy는
github.com/entelecheia/eKoNLPy에 공개되어 있다.)
저자들은 eKoNLPy를 활용하여
두가지 접근방법으로 통화정책 의사록의 톤을 계산하였는데,
하나는 시장 접근법(Market Approach)이고,
또 다른 하나는 사전 접근법(Lexical Approach)이다.
시장 접근법은 간단하게 보면,
단어가 매파적인 단어인지, 비둘기파적인 단어인지 판단하는 기준을
사람이 판단하지 않고,
시장의 변동상황을 기준으로 매파/비둘기파 카테고리를 부여,
Naive Bayes Classifier를 활용하여 라벨링 해준 것으로,
저자들은 분석하고자 하는 텍스트가 나타난 시점으로부터
한 달간의 콜금리 변동을 보고
상승하였으면 매파적
하락하였으면 비둘기파적으로
단어의 극성을 분류(Polarity Classfication)하였다.
사전 접근법은 이와 다르게
사람이 극성을 분류한 씨앗 단어(Seed Word)를 기반으로
단어의 극성을 분류하였다.
여기서 활용한 방법은
SO-PMI(Semantic Orientation from Pointwise Mutual Information)라는
방법으로, PMI란 두 단어의 동반출현확률이다.
관련 내용을 간단히 수식으로 정리하자면 다음과 같다.
여기서 SO-PMI란
매파적인 단어와의 PMI와 비둘기파적인 단어와의 PMI를 비교한 값으로
가 된다.
이러한 방법들을 통해 단어의 극성을 분류하게 되면,
한 문장 내의 매파로 분류된 단어의 수와
비둘기파로 분류된 단어의 수를 비교하여
문장의 톤을 구하고,
그렇게 구해낸 문장의 톤을 확인하여
매파로 분류된 문장의 수와
비둘기파로 분류된 문장의 수를 비교하여
전체 의사록의 톤을 계산한다.
(매파에 가까울수록 +1, 비둘기파에 가까울수록 -1)
시장접근법으로 구한 통화정책 기조와
사전접근법으로 구한 통화정책 기조는 큰 차이가 없음이
논문 Figure4 (a)에서 나타난다. (상관관계: 0.85)
(b)는 시장접근법으로 구한 통화정책 기조와
한국은행의 기준금리가 유사한 움직임을 보이고 있음을
(c)와 (d)는 각각
Economic Policy Uncertainty (Baker et al. (2016)),
Uncertainty Index (Jurado et al. (2015))와의 관계를 보여주는데,
불확실성이 높은 시기에
통화정책 기조는 주로 비둘기파적인 성향을 보이고 있음을
차트를 통해 보여주고 있다.
움직임도 비교해보는 등
각종 거시경제변수들과의 관계를 살펴보는 내용들이 이어진 후
저자들은
이렇게 추출해 낸 통화정책 기조가
과연 현재와 미래의 통화정책 결정을 잘 설명하고 있는지,
Taylor rule을 활용하여 검증을 시도한다.
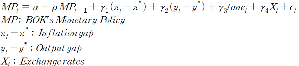
검증을 시도한 식은 다음과 같다.

저자들은 이를 OLS로 분석해보는데,
해당 분석 결과를 보면
텍스트 마이닝에 기반한 통화정책 기조가
통화정책결정에 영향을 미치고 있음을 명확히 확인할 수 있다.
시계열의 안정성을 고려하여
Augmented Dickey-Fuller Test 결과
단위근이 있는것으로 확인된
기준금리, 인플레이션 갭, GDP 갭 등을
차분하여 실시한 분석 결과에서도
통화정책 기조는 한국은행 기준금리나, 통화정책 결정에
유의한 영향을 미치고 있음을 확인하고 있다.
이 논문을 처음 읽었을 때,
너무 궁금해서 해당 Github에 들어가서
eKoNLPy를 활용해 통화정책기조를 추출해보려 시도를 했었는데,
잘 되지 않아 당황했던 기억이 난다.
사견으로는
해당 내용으로 실증분석 후속연구가 없는 이유 중 하나는
이 인덱스 데이터가 EPU 같은 지수처럼
공개되고 있지 않기 때문으로 보인다.
의사록의 전처리 방식 등이 달라
해당 논문의 저자들이 구했던 통화정책 기조와는
다소 차이가 있을지도 모르지만,
eKoNLPy를 이용, 나름대로 추출해낸 데이터를 활용해
차트를 그려보면 다음과 같다.

이를 활용한 나만의 연구 내용은
추후에 공개 가능해질 때, 블로그에 공개하려 한다.
'경제학' 카테고리의 다른 글
| [논문리뷰] Bank Runs, Deposit Insurance, and Liquidity (Diamond and Dybvig) (1) | 2022.10.28 |
|---|---|
| [논문리뷰] Forecasting Inflation in a Data-Rich Environment (Medeiros et al) (0) | 2022.10.17 |